Background: Zinc is an essential micronutrient that impacts host–pathogen interplay at infection. Zinc balances immune responses, and also has a proven direct antiviral action against some viruses. Importantly, zinc deficiency (ZD) is a common condition in elderly and individuals with chronic diseases, two groups with an increased risk for severe severe coronavirus disease 2019 (COVID-19) outcomes.
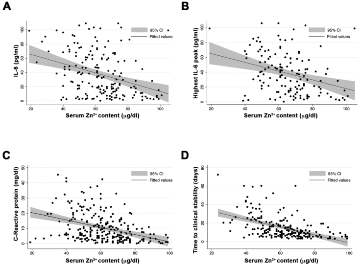
We hypothesize that serum zinc content (SZC) influences COVID-19 disease progression, and thus might represent a useful biomarker. Methods: We ran an observational cohort study with 249 COVID-19 patients admitted in Hospital del Mar. We have studied COVID-19 severity and progression attending to SZC at admission. In parallel, we have studied severe acute respiratory syndrome coronavirus 2 (SARS-CoV2) replication in the Vero E6 cell line modifying zinc concentrations. Findings: Our study demonstrates a correlation between serum zinc levels and COVID-19 outcome.
Serum zinc levels lower than 50 µg/dL at admission correlated with worse clinical presentation, longer time to reach stability, and higher mortality. Our in vitro results indicate that low zinc levels favor viral expansion in SARS-CoV-2 infected cells. Interpretation: Low SZC is a risk factor that determines COVID-19 outcome.
We encourage performing randomized clinical trials to study zinc supplementation as potential prophylaxis and treatment with people at risk of zinc deficiency
